研究进展

    研究进展

    当前您的位置: 首页 > 研究进展 > 正文

    2023年学术进展系列之22:买球官网博士研究生张璐璐与合作者在伽玛暴甚高能余辉辐射物理研究取得进展

    日期: 2023-05-12 浏览次数:

    近日,买球官网博士研究生张璐璐与南京大学、紫金山天文台等合作者在伽玛暴甚高能余辉辐射物理研究取得进展,研究论文被《天体物理学杂志》(Astrophysical Journal)接收发表。

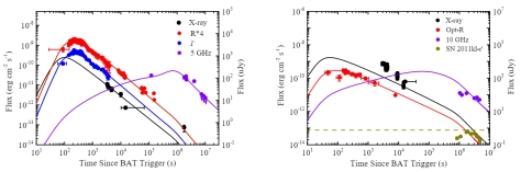
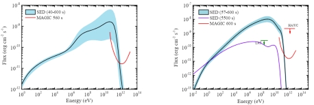
    伽玛暴的甚高能余辉辐射对于研究伽玛暴喷流性质和暴周介质环境具有非常重要的意义。自2019年来该领域观测研究取得突破。2020年国际甚高能伽玛射线望远镜MAGIC观测简报报道了GRBs 201015A201216C100 GeV以上能区的伽玛射线余辉。博士生张璐璐和导师等人研究了这两个暴的辐射特征,发现GRB 201216C是一个极亮、能谱硬、辐射各项同性能极至今探测到最高红移(约1.1)的甚高能伽玛暴,与2022年探测到的至今最猛烈的伽玛暴GRB 221009A非常接近,而GRB 201015A是一个爆发总能偏低和能谱偏软的伽玛暴。他们基于标准的伽玛暴余辉模型拟合了射电、光学和X射线的多波段余辉光变曲线,给出了高能余辉辐射的谱能分布,发现两个暴的高能辐射均可电子同步自康普顿(SSC)过程揭示。基于这两个极端事例与至今观测到甚高能余辉伽玛暴的比较研究,他们发现这些暴不具有显著的共性特征,但均在置信度水平内同样遵循Lγ,iso − Ep,z − Γ0三参量关系。

     

     

     

    论文标题:Very-High-Energy Gamma-Ray Afterglows of GRB 201015A and GRB 201216C

    论文作者:张璐璐(博士生),任佳(南京大学),王鋆(紫金山天文台),梁恩维(通讯作者)

    论文链接:https://arxiv.org/abs/2305.00847

    联系地址:广西区南宁市大学东路100号

    联系电话:0771-3237386

    邮 编 :530004

    关注我们

    版权所有:买球(中国区)官方网站